堆浸工藝設計要點
發布時間:2017-04-24 09:40 瀏覽量:12022 來源:金鵬礦機
溫馨提示: 如果您想了解更多信息(如選礦設備價格、參數、規格及處理能力等),請聯系我們客服。
24小時熱線: 400-6969-268 在線咨詢
與傳統的選礦工藝比較,堆浸工藝具有投資省、成本低、基建時間短、生產環節少等優點,但也有一些局限性。在工藝生產、廠址選擇和布置、工作制度、工藝條件、所采用的設備、材料等方面,堆浸工藝與傳統工藝有所不同,具有自身的一些特點。幾十年來,堆浸工藝伴隨著技術進步和創新,迅速成長、發展,設計方面也積累了不少經驗和知識。但總的來說,尚不夠完整、成熟、規范,缺少可指導設計的內容比較全面的工具書,不少東西有待總結和進一步探索。
一
堆浸工藝與廠址選擇
堆浸場址的選擇原則,與傳統工藝有相同之點,也有不同之處。相同的有:不占或少占農田,遠離居民區;廠(場)址不壓在礦床范圍內,不在采礦蹋落區與爆破危險界限之內;盡可能使重車下坡運輸。不相同的有:堆浸場可能與采礦場和尾渣庫距離短,盡可能就近建設,降低運礦成本;堆浸場應盡可能與廢石場共用一個山谷,以減少污染源;充分利用地形地勢條件開挖液池,布置防洪排水系統。
堆浸濕法工藝通常由碎礦系統(有時含洗礦、制粒)、堆浸、吸附(萃取)、濕法冶煉等工序(本文僅討論堆浸)組成,一般不需要建磨選車間。磨選車間有不少大型設備,生產期間需要運入大宗材料和運出精礦產品,需要配一定等級的公路,需要選擇面積較大、地形比較平緩的場地。為達此需要,一般很難靠近采場,所需廠址離采場有一定距離,有的選廠距離很遠,致使運礦設備投資和成本較大。
采用堆浸工藝,廠址選擇變得相對簡單。由于碎礦系統對地形適應性較強,堆浸場地可因地制宜,整個選廠設施不必遠離采礦場,可縮短運礦距離,減少投資和成本。
堆浸場應盡可能與采礦廢石場設在同一山谷或相鄰山谷,盡可能用廢石場兼作浸出后的尾渣庫,縮短排廢的距離,降低成本,且減少礦山污染源。這種情況下,排水防洪、泥石流防治及污染防治等設施可集中設計,既減少投資,又便于管理。
二
堆浸設施應該根據地形特點布置
總的來說,堆浸場對地形條件要求不高,可因地制宜,根據地形特點分別設置永久性卸堆式堆場或疊加式堆場。如山頂、山坡地勢較緩、較開闊,宜用以構筑永久性卸堆堆場。每次拆堆后的廢渣,可就推入山谷,并以此逐步擴大堆場面積。如山脊陡峭,山谷有比較開闊平緩的場地,可在谷底構筑疊加式礦堆。當今大型堆浸礦山,以在山谷中建疊加式礦堆為多數。底墊輔在選定的底層,一個周期噴淋浸出完成后,尾渣不排放,將新采出的礦石直接堆放在其上(也可隔若干層重新鋪底墊),筑好堆后開始新一輪的噴淋。如此不斷地疊加,直到不能再堆高為止。設計時,就優先考慮采用疊加式堆場。大量的生產實例表明,與永久性卸堆式堆場相比,疊加式堆場有如下幾方面的優點。
①場地平整費用較低;②由于連續堆浸,浸出率較高;③可省去洗堆、拆堆和運尾渣作業,生產成本較低;④堆場與尾渣場合一,可減少污染面積。
但在山谷底部構筑堆場,修筑公路通常難度較大。無論是永久性卸堆堆場還是疊加式堆場,運礦公路均為簡易公路。公路通常沿堆場邊開拓,內側為山坡,外側為堆場。沿山坡內側靠公路挖排水溝,將界區內山體匯水排至堆場的排洪溝。隨著疊加式堆場面積的擴大和標高的抬升,進礦公路和排洪溝均往山坡上部遷移。堆場每筑高10m左右,應留有適當的安全平臺,且使堆場邊坡保持一定的角度。當礦堆向上移至一定高度時,下部安全平臺和坡面,可以進行覆土造林,恢復植被,防止水土流失和泥石流事故。
無論采用哪種堆場,整個堆浸作業均有多個小堆場。每個小堆場均設有集液溝。生產經驗告訴我們,集液溝最好設雙溝。在浸出不同時期,根據溶液的品位高低,決定注入貴液池還是中間池。整個堆場下游應建兩個以上的溶液池。一個為貴液池,一個為中間池。有的還需設貧液池。貴液池內可分隔為兩部分,一邊為貴液池,另一邊為澄清池。貴液池的貴液用泵揚送或自流至吸附(萃取)系統。貧液池用于儲存吸附后的貧液或萃取后的萃余液,添加藥劑(氰化物或硫酸等)后輸送到堆浸場噴淋。
過去,一些礦山把貴液池、中間池建筑在堆場下游的最低處,暴雨季節灌水直接經過,產生沖池、漫池,造成金屬損失和環境污染。鑒此,設計時,應根據地形條件,將溶液池設在避開洪水徑流線的位置,并在池周邊做好排洪設施。小型礦山溶液池,有的用金屬板或高分子塑料板拼焊。大中型礦山,由于溶液池體積較大,可用砼結構,也可依地形條件挖掘土坑,內鋪防滲膜或黏土,施工速度快,又節省投資。不少礦山采用此種作法,能做到平時不滲漏,暴雨發生沖池現象。
堆場下游必須設具有一定容積的防洪池,否則暴雨季節不可避免地會造成金屬損失和環境污染。防洪池宜設在堆場周邊匯水范圍下游集結處。一般不建砼結構,采用挖地坑鋪設防滲膜的形式建造。由于防洪池內液體含有部分金屬離子,通常被揚送到貧液池,作為噴淋液,在堆場內部構成液體循環,平時一般無廢水外排。規模較大的堆浸場與廢渣場,為了達到環境保護的要求,在下游出口處設置擋砂擋泥壩。雨季,壩內可蓄水,實際可兼作防洪池。當堆浸場與廢石場共處一個山谷,廢石場下游的攔擋壩形成的水庫,可當作堆浸場的防洪庫,不必另建防洪池,或在攔擋壩上游建一小防洪池調節使用(非雨季期間)。
三
堆浸設施設計
堆浸設施設計計算,主要有堆浸場面積計算、溶液池和防洪池的容積計算。
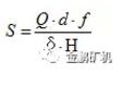
堆浸場面積計算,目前國際上尚無公認的通用的計算公式。過去的設計,大多參照同類型礦山生產情況,憑經驗確定堆浸面積。本文推出一公式如下:
(1)
式中:S為堆場總面積,m2;Q為選廠日處理礦石量,t/d;d為堆浸生產一個周期的天數(含筑堆、卸礦的天數),d;f為堆場面積系數,包含堆場死角、運輸道路等,通常取1.2~1.3;δ為礦石松散密度,t/m3;H為礦堆堆高,m。
從式中(1)可知,堆場面積與日處理的礦石量、堆浸周期天數成正比,與礦石的松散密度、堆高成反比。
擬定公式(1)的基本思路是:堆浸作業有多個小堆場,交替進行筑堆、噴淋(初、中、晚期)、洗堆、卸堆等作業,是連續的過程。生產正常情況下,堆場面積理論上是個常數。堆浸一個周期,需很多天才能完成,但每天運入堆場的礦石量是穩定的。因此當堆高確定后(松散密度也為定值),決定堆場面積的是一個周期內處理的礦石總量,即日處理礦石量乘以一個周期的天數,與全年礦石處理量無直接關系。
筆者用公式(1)對大量生產實例進行驗算,計算結果與實際情況相當接近。因此認為,公式(1)可推廣作為設計計算堆場面積的通用公式。
防洪池的計算。防洪池容積通常按容納堆場內部連續降雨若干小時匯水量來確定。但降雨時間多長為宜,沒有絕對標準。東北大學出版社出版的《堆浸法提金工藝與設計》介紹的公式為:
(2) V=K·e·h·s
式中:V為防洪池容積,m3;K為保險系數,一般為1.1~1.3,根據氣象資料的可靠性確定,可靠性大時取下限,反之取上值;e為每小時最大降雨量,m/h(根據當地50~100年氣象資料而定);h為最大連續降雨小時數,h(根據當地50~100年氣象資料而定);s為堆浸場總面積,m2。
在使用公式(2)時,最大連續降雨小時數難以確定。南方地區,這個數字通常較大,依公式(2)算出的防洪池容積很大。在設計中,有時設定最大連續降雨時數為8~10h來計算,認為堆場經暴雨沖洗8~10h后,金屬離子及藥劑濃度已大為稀釋,隨洪水漫流出去,對下游污染不嚴重。實際上,如前所述,大一些的堆浸場及廢石場,為防止泥石流泛濫,盡可能在山谷出口處筑攔擋壩,形成的庫容比一般防洪池大的多,可不必設防洪池。公式(2)主要適用于下游無攔擋庫,單獨設置防洪池的計算。
溶液池(富液池、貧液池、中間池)容積計算。有的書籍介紹了計算方法,認為金礦堆浸按每1000t礦石6.5m3貴液池容積為宜,貧液池與富液池容積相當。由于銅礦堆浸獲得的貴液是進萃取系統,所需溶液池的容積比金礦應大得多。總的原則是,溶液池的容積應與堆場規模相匹配,同時也滿足后續作業的儲存要求。
四
堆浸工作制度
堆浸在露天作業,受氣候影響較大,惡劣天氣條件下,往往難于維持正常生產。中國南方雨季時間長,北方冰凍時間久,都會使堆浸生產全年工作日縮短。南方堆浸生產經驗表明,小雨天氣對生產影響不大。有些礦山用防雨膜罩蓋堆浸場,并加強堆場防排洪和溶液池管理,使堆浸生產在雨季期間(除非大暴雨)也得以繼續進行。南方地區年工作日,一般可達300d。但北方地區冰凍期間要維持正常生產,難度大得多。北方在冬天通常采用的辦法,是使堆浸作業在覆蓋層或覆土層下面進行。噴淋輸送管可采取兩種方式安裝,一是沿地面上布置,管子外面包裹較厚的防凍層;二是埋在地表1.5m以下。設計地下敷設的壓力輸液管時,特別要注意,當管子從低往高布置時,不可以在中間出現低陷點儲存水后會產生凍結,使整條管道不暢通。如果地形條件使管道不得不在中間出現低落點(這部分地形低),則必須在此處設置放水口及閘閥。北方地區堆浸生產全年工作日,大約為240~290d。
堆浸噴淋工作制度以及各作業的工作時間,宜根據不同礦種及參照不同類型礦石的生產特點來制定。有條件的情況下,可進行試驗。
五
設計指標及主要工藝條件
與傳統工藝相似,堆浸工藝設計確定浸出指標的依據,也是選礦試驗結果與實際生產指標,也可參與類似礦山的生產實踐。但不同的是,傳統工藝試驗是模仿生產條件進行的,而堆浸工藝實驗室小型試驗,通常是以滾甁和柱浸方式進行,與實際條件差別較大,因此浸出率相差較大,尤以金礦比較突出。因此,設計時應盡可能以工業性(半工業性)試驗結果作為確定浸出指標的依據。如無工業性試驗,可參考原礦性質相似的礦山堆浸生產指標,并參照柱浸指標,適當調整后確定。
堆浸粒度、堆浸周期和堆高都是重要的工藝條件。適宜的堆浸粒度,通過柱浸試驗即可基本確定。堆浸周期和堆高則要通過工業性(半工業性)試驗擬定。適宜的堆浸周期確定依據有兩條:一是浸出率指標;二是堆浸尾渣品位對應的盈虧平衡點。從設計經驗可知,有時柱浸的天數與實際堆浸生產差距很大,如金礦,實際生產天數往往是柱浸天數的2~2.5
下一篇:
金鵬集團早會文化引領企業學習熱潮
English
Espa?ol
русский












